게임을 지탱하는 기초 수학 1-5. 삼각함수
1. 삼각함수(Trigonometric function)
직각삼각형(Right-Angled Triangle)의 3요소

삼각비(Trigonometric Ratio)
직각 삼각형을 구성하는 세 요소 중 두 요소에 대한 비의 값

그래픽에서는 cosθ , sinθ 그래프를 가장 많이 사용하고, tanθ 그래프는 이후 역함수에서 등장할 것.
삼각함수(Trigonometric Function)
삼각비를 집합의 관점에서 대응관계로 나타낸 것

삼각함수와 단위 원
- 단위 원: 반지름이 1인 원
단위 원에 들어가는 직각 삼각형을 생각해보자. 빗변의 값은 항상 반지름인 1이다.



코사인과 사인 함수의 성질
- 사인 함수와 코사인 함수는 항상 [-1,1] 범위를 일정하게 반복하는 패턴을 가진다.
- 사인과 코사인 함수는 2𝝅(360˚) 주기로 반복된다.
- 축을 기준으로 좌우를 포개었을 때
- 코사인 함수는 좌우 대칭
- 사인 함수는 상하가 반전된 형태를 가진다.


삼각함수의 유용한 공식
- 탄젠트함수는 cos90˚, cos270˚에서 존재하지 않는다. (분모가 0이되면 안되기 때문)
- 피타고라스 정리에 따라 sinθ의 제곱 +cosθ의 제곱 = 1


- 실벡터공간 R²의 표준 기저 벡터 = 각의 값이 0˚와 90˚에 해당하는 벡터를 의미한다.

단위원을 생각해서 삼각함수 상기하면 잘 안까먹을 것
2. 각의 측정
- 각도법(Degree)
- 호도법(Radian)
각도법(Degree)
원을 360개로 균일하게 나누고 ˚를 사용해 각을 표현.
왜 360? 약수가 많이 나오는 수라서 원을 쪼개어 계산할 때 유용하다.
호도법(Radian)
하지만 1˚를 단위로 삼아 원에 관련한 수학을 전개했을 때 불편한 점이 많다.
따라서 별도의 단위를 정하고 이를 기준으로 원에 대한 수학을 전개하는 것이 일반적
호도법의 원리

호도법과 각도법의 관계


수학이나, 컴퓨터에서 삼각함수를 다룰 때는 모두 호도법 기준으로 전개.
3. 벡터의 회전(Rotaion of Vector)
앞서 배운 삼각함수를 어디 쓰느냐! 각 θ 만큼 물체를 회전시킬 때
표준 기저벡터를 사용한 실벡터공간 R²의 원소 (x, y)의 생성 방법

이때 표준기저벡터로 이루어진 벡터공간 R²의 두 기저 벡터가 새로운 값으로 변한다면
벡터 공간의 원소 (x,y)는 새로운 두 기저 벡터에 각각 x와 y를 곱한 벡터에 대응된다.
- 이때 새로운 두 기저 벡터가 크기가 1,
- 직교하는 상태와
- 현재 방향을 유지하면서 변형하는 것을 회전 변환이라고 한다.
각 θ만큼 발생한 회전 변환을 통해 임의의 벡터가 어떻게 변화되는지 살펴보자.

4. 삼각함수의 역함수(Inverse trigonometric functions)
역함수가 존재하기 위해서는 해당함수는 전단사함수여야 한다.
하지만 sin, cos, tan는 전단사함수가 아니다. 왜냐하면 단사가 아니기 때문이다.
계속 [-1,1]반복하므로 1:1 대응이 아니기 때문
따라서 sin, cos, tan 함수를 단사함수로 만들기 위해 의도적으로 정의역의 값을 제한시키자.
그렇다면 전단사함수가 되어 역함수가 존재할 수 있다.
- 사인 함수가 전단사 함수가 될 수 있는 정의역 구간 : [- 𝝅/2 , 𝝅/2 ]
- 코사인 함수가 전단사 함수가 될 수 있는 정의역 구간: [0,𝝅]
- 탄젠트 함수가 전단사 함수가 될 수 있는 정의역 구간: (- 𝝅/2 , 𝝅/2 )
위의 범위에서 정의한 역함수를 아크사인, 아크코사인, 아크탄젠트함수라고도 부른다.

역함수가 다루는 각의 범위
- 아크사인함수의 치역 : [- 𝝅/2 , 𝝅/2 ]
- 아크코사인 함수의 치역: [0,𝝅]
- 아크탄젠트 함수의 치역: (- 𝝅/2 , 𝝅/2 )


아크탄젠트 함수의 활용
두 삼각형은 다른 삼각형이고 다른 값을 가지지만 탄젠트 값은 동일하다
탄젠트 값을 알면 두가지 중 하나

하지만 부호 정보를 추가로 전달할 수 있다면? 둘의 구분이 가능하다.
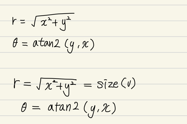
따라서 특별한 탄젠트의 역함수를 사용한다. 그것이 atan2(y,x)함수다.
어떤 벡터의 각을 알고 싶다면 탄젠트의 역함수 atan2를 사용한다.
5. 극 좌표계(Polar Coordinate)
평면은 보통 x축, y축으로 구성되어 있다고 생각하는데,
평면이 무수히 많은 원들로 구성되어있다고 가정하고, 반지름의 값과 각으로 좌표를 표시하는 것.
회전할 때 많이 사용함.


데카르트 좌표계에서 극 좌표계로 변환하기

극 좌표계에서 데카르트 좌표계로 변환하기

극 좌표계의 활용 예시
반지름 r의 크기에 비례해서 중심에서 멀어질 수록 회전을 더 많이 주고 싶은 경우